Effect of Machine Learning Assisted Triage on CT Brain Report Turn-Around Time in Australian Emergency Departments
Authors
H Ahmad, M Ryan, G Crow, CM Jones, M Bartlett
Poster presented at ACEM, 2023
Background
Timely availability of diagnostic imaging results is critical to the clinical decision-making process in the Emergency Department (ED), particularly after-hours when resources and experience are limited. Faster report turnaround time (RTAT) enabled by machine learning solutions may contribute to reduced delays and improved outcomes for patients with time-sensitive pathology.
Objectives
This analysis evaluates the impact of an AI driven radiology worklist triage tool on RTAT of after-hours non-contrast CTB (NCCTB) scans.
Method
A commercially available AI tool (Annalise Enterprise CTB) was deployed across a large teleradiology service. Accuracy of the model has been established in prior work (1). The AI assigned a triage priority to NCCTB scans (‘Critical,’ ‘Urgent’, ‘High’ and ‘Standard’) based on the presence of automatically detected time-sensitive findings. Radiologist worklist prioritisation was changed for studies showing critical and urgent findings on AI triage. Data was collected three months pre- and post-intervention (Jan-June 2023), and analysis restricted to ED studies between 1700 and 0700 weekdays and on weekends. RTAT was defined as the time between ‘tech ready’ and ‘report signed’ timestamps. Mann-Whitney U test was used to compare RTAT pre- and post-triage implementation within each triage classification group.
Results
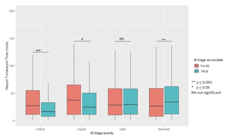
A total of 4,880 studies reported from 21 EDs were included in the analysis. Use of machine learning triage assistance resulted in a decrease in median RTAT for AI predicted ‘Critical’ studies (median (IQR) = 27.6 (11.4 – 56.1) vs 16.4 (8.0 – 33.1) mins, p < 0.001). An increase in median RTAT was observed for AI predicted ‘Standard’ studies 26.8 (8.1 – 60.6) vs 34.4 (12.0 – 63.1), p = 0.001) (Figure 1).
Conclusions
The use of a machine learning worklist triage tool led to significant reductions in RTAT for after-hours NCCTB scans containing time-sensitive pathology. Earlier availability of CTB reports may positively impact key performance metrics relating to treatment, disposition, and discharge of ED patients.

Figure 1: Box-plot illustrating the change in report turn-around time (RTAT) in minutes when AI driven triage is used (cyan) vs when it is not (red)
References
1. Buchlak Q, Tang C, Seah J, Johnson A, Holt X, Bottrell G, et al. Effects of a comprehensive brain computed tomography deep-learning model on radiologist detection accuracy: a multireader, multicase study [Internet]. Research Square. 2022. Available from: http://dx.doi.org/10.21203/rs.3.rs-1588540/v1
Disclaimer
Harrison.ai Radiology Solutions were previously marketed as Annalise.ai solutions.

